BIREUEN – Asakita.news – Prestasi membanggakan kembali ditorehkan siswa SMAN 2 Bireuen. Puluhan siswa sekolah tersebut dinyatakan lulus Seleksi Nasional Berdasarkan Prestasi (SNBP) 2026 dan diterima di berbagai perguruan tinggi negeri ternama di Aceh maupun luar daerah.
Kepala SMAN 2 Bireuen, Hasan Basri, MM, menyampaikan bahwa capaian ini merupakan hasil dari kerja keras siswa serta ketulusan para guru dalam membimbing dan mendidik.
“Ini adalah bukti nyata ketulusan guru dalam mendidik siswa. Alhamdulillah, tahun ini banyak siswa kami yang berhasil lulus melalui jalur SNBP,” ujar Hasan Basri kepada media ini.

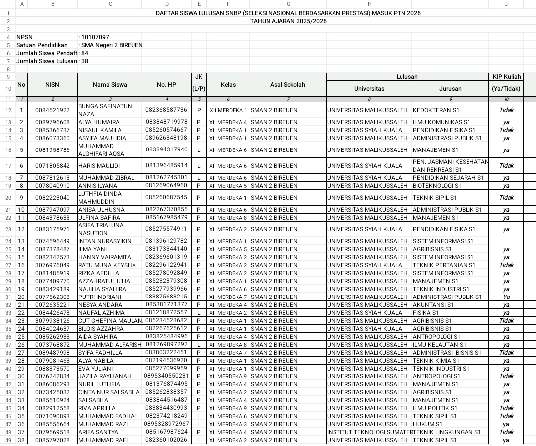
Adapun perguruan tinggi yang menjadi tujuan para siswa antara lain , , serta , dengan berbagai program studi favorit seperti Kedokteran, Teknik Sipil, Manajemen, hingga Sistem Informasi.
Beberapa siswa yang berhasil lulus di antaranya Bunga Safinatun Naza (Kedokteran, Universitas Malikussaleh), Alya Humaira (Ilmu Komunikasi, Universitas Malikussaleh), Nisaul Kamila (Pendidikan Fisika, Universitas Syiah Kuala), serta Muhammad Alghifari Aqsa (Manajemen, Universitas Malikussaleh).
Selain itu, terdapat pula nama-nama seperti Annis Ilyana (Bioteknologi), Luthfia Dinda Mahmuddin (Teknik Sipil), Ilma Yani (Agribisnis), hingga Arifa Santya yang berhasil menembus Institut Teknologi Sumatera pada jurusan Teknik Lingkungan.
Keberhasilan ini semakin mempertegas kualitas pendidikan di SMAN 2 Bireuen yang terus menunjukkan tren positif setiap tahunnya dalam mengantarkan siswa ke perguruan tinggi melalui jalur prestasi.
Sementara itu, Kepala Cabang Dinas (Kacabdin) Pendidikan Wilayah Bireuen, Abdul Hamid, turut mengapresiasi capaian tersebut. Ia menyampaikan penghargaan atas dedikasi seluruh guru dan tenaga kependidikan (GTK) yang telah bekerja maksimal dalam membina siswa.
“Kami mengapresiasi kinerja kepala sekolah dan seluruh GTK SMAN 2 Bireuen yang telah berhasil menghantarkan siswa meraih prestasi ini. Semoga capaian ini terus dipertahankan dan ditingkatkan di masa mendatang,” ujarnya.
Dengan capaian ini, SMAN 2 Bireuen kembali membuktikan diri sebagai salah satu sekolah unggulan di Kabupaten Bireuen yang konsisten melahirkan lulusan berprestasi dan siap bersaing di tingkat nasional.

